• Home
  • Events
    • ARPANET
    • TCP/IP
    • File Sharing
    • Social Networking
    • Web Browsers
  • W3C
  • The Internet?
  • Glossary
  • References

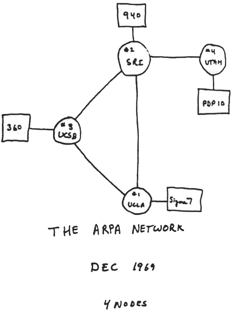
ARPANET

In 1969 the first network was created under the control of the US Advanced Research Project Agency (ARPA). The original purpose of this was to connect four university computers to share and communicate with each other. The Arpanet was first to use packet switching. This breaks data into small parts to send and then puts them back together at the other end, this makes sending information quicker and more reliable.

Want to learn more, watch the video below